M20. La quantité
ln(16) est aussi égale à :
ln(16) = ln(2
4)=4 ln(2). Réponse
D.
M21. la quantité ln(e
½)+ln(1/e)
est aussi égale à :
ln(e½)=
½ln(e) = ½.
ln(1/e) = - ln(e) = -1.
ln(e½)+ln(1/e)=
0,5-1 = -0,5.
Réponse B.
M22.
La quantité ln((5
½+1) / 2)
+ln
((5½-1) / 2)
est aussi égale à :
ln
((
5½+1)(5½-1) / 4)=ln((5-1)/4)=ln(1)=0. Réponse
A.
M23. L’équation x
2 +4x +3 = x +7 possède :
x
2 +3x -4 =0.
Discriminant D = 32+4*4=25
=52.
Solutions x
1 = (-3+5) / 2 =1 ;
x2 = (-3-5) / 2 =-4.
Réponse
C.
M24.
L’équation ln(x
2 +4x +3) = ln(x +7) possède :
x+7 >0 soit x > -7.
x
2 +4x +3 >0 .
Résolution de x
2 +4x +3 =0 ; D
=42-4*3=4=22 ; solutions x1 =(-4+2) /
2 = -1 et x2 =(-4-2) / 2 =-3.
soit x
< -3 et x > -1
x doit appartenir à ]-7 ; -3[ union ]-1 ; +oo[.
ln(x
2 +4x +3) - ln(x +7)=0.
ln((x
2 +4x +3) / (x+7) )=0 = ln(1).
x2+4x+3
= x+7.
x
2 +3x -4 =0.
Discriminant D = 32+4*4=25
=52.
Solutions x1 = (-3+5) / 2
=1 ; x2
= (-3-5) / 2 = -4.
Solutions retenues : 1 et -4.
Réponse C.
M25.
L’équation ln(x +1)+ln(x +3) = ln(x +7) possède :
x+1 >0 soit
x > -1 ; x+3
>0 soit x > -3 ; x+7 > soit x > -7.
ln
((x+1)(x+3)
)= ln(x+7).
ln((x+1)(x+3) )- ln(x+7).=0
ln((x+1)(x+3) / (x+7)) = 0 = ln(1).
(x+1)(x+3) / (x+7) =1 ; (x+1)(x+3) = x+7.
x2+4x+3=x+7 ; x2+3x-4=0.
Solutions 1 et -4.
Seule la solution -1 est retenue. Réponse B.
M26.
L’équation exp(
x
2)
=
1/
9
possède :
x
2 = ln(1/9) = -ln(9).
x
2 >0 ; -ln(9) < 0. Donc aucune solution.
Réponse A.
L2. Donner
les solutions de l’équation e
x +e
1−x −e−1 = 0.
ex
+e1 * e−x −e−1 = 0. Multipions chaque terme par ex
:
e2x +e1 −(e−1) ex= 0.
On pose X = ex >0.
X2-(e-1)X+e=0.
Discriminant D
=(e-1)2-4e = e2-6e+1 < 0.
Aucune solution réelle. Réponse A.
M28.
L’inéquation x ln(x
½) > x
½ ln(x) a pour
ensemble de solutions :
On pose X = x
½ > 0.
X
2 ln(X) > X ln(X
2) ;
X2 ln(X) > 2X
ln(X) ; X >2 ;
x > 4. Réponse D.
M29
La fonction f(x) =ln(5x-1) est :
Définie sur : 5x-1 >0 soit x > 1 /5.
On pose u = 5x-1 ; u' = 5.
f '(x) = u' / u = 5 /(5x-1).
Réponse A.
M30. La fonction f(x) = ln( |7-2x|)
est :
Si 7x-2 >0, |7-2x| = 7-2x, soit x < 3,5.
On pose u = 7-2x ; u' = -2.
f '(x) = u' / u = -2 / (7-2x) = 2 / (2x-7).
Si 7x-2 < 0,
|7-2x| = 2x-7, soit x > 3,5.
On pose
u = 2x-7 ; u' = 2.
f '(x) = u' / u = 2 / (2x-7).
Réponse B.
M31. La
fonction f(x)= ln(ln(x)) est :
ln(x) doit être positif : x > 1.
On pose u = ln(x) ; u' = 1 /x.
f '(x) = u' / u = 1 / (x ln(x)). Réponse E.
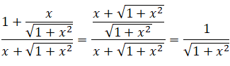
M32.
La fonction f(x)= ln
(x + (
1+ x
2)
½ )
est :
Définie sur R.
On pose u =
x + (
1+ x2)½ ; u'=1+0,5 *2x / (
1+ x2)½ =1+x /(
1+ x2)½ .
f 'x) = u' / u = (1+x /(
1+ x2)½ ) / (x + (
1+ x2)½).

Réponse D.
Une fonction étonnante
On considère la fonction f qui à tout réel x dans ]−1 ; 1[ associe le
réel f (x) = exp(
1
/ (x
2-1)).
L3 Donner la dérivée de f
.
On pose u = 1 / (x
2-1) ; u' = -2x /
(x2-1)2.
f '(x) = u' exp(u) = -2x / (x2-1)2. exp(
1
/ (x2-1))
M33 Parmi f
et sa dérivée f
′
, lesquelles tendent vers 0 en 1 ?
Quand x tend vers 1
+ : x
2-1 tend vers 0
+
; 1/(x
2-1) tend vers +oo.
f(x) tend vers +oo.
Quand x tend
vers 1- : x2-1 tend vers 0- ; 1/(x2-1)
tend vers -oo.
f(x) et f '(x) tendent vers 0.